+2 votes
769 views
In 10-12 by Guru (7k)  
edited

3 lessons

+2 votes
by Guru (7k)  

To draw the graph of y = 3 + 2x + x², choose some x-values like -3 to 3. For each x, calculate y by putting the number into the formula. For example, if x = 0, then y = 3. If x = 1, then y = 6. Do this for several x-values to get points like (-2, 3), (0, 3), (1, 6), (2, 11), etc. Then plot these points on graph paper and connect them with a smooth curve. The shape will be a U-curve, called a parabola.

Solving nonlinear equations by graphing

Excercises



0 votes
by Star (3.9k)  

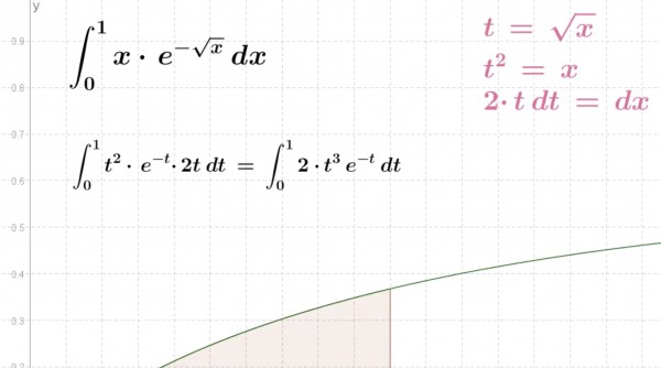
Integral substitution video from Thomas Lingefjärd.

0 votes
by Star (3.9k)  

Video created by Thomas Lingefjärd

TEST PREP OR SPEED LEARN

AI powered, structured, top voted content for the 10 most important Skills in your curriculum subjects.

OWN ONE NEW SKILL A DAY
Unlock new knowledge and get badges, delivered right to your inbox. Get started



NEW LANGUAGE IN A WEEK
Meet Learn Asleep, our AI-powered, adaptive audio learning system that makes mastering new languages a breeze.

GET THE BIG PICTURE
Get the poster of the most important skills. Order it for free here.

SkillsAndLessons web solution goes hand in hand with a physical poster that provides overview, structure and engagement.


DISCOUNT ALERT
The whole family in for the price of one! Schools enjoy special rates. Contacts us.

SkillsAndLessons, learn skills before a test, or get back on track. Fastest way to grow as a person.




SkillsAndLessons - Test prep or get back on track.

Palo Alto, San Francisco, USA
Finland - Sweden - Belgium - South Africa



           






...